الجريدة الرسمية الجزائرية | SGG Algérie تصفح وابحث في الجريدة الرسمية الجزائرية على القوانين والمراسيم بكل سهولة وسرعة.
العدد 19 الأمانة العامة للحكومة الجزائرية

نتائج انتخابات مجلس الأمة وتدابير اقتصادية واجتماعية جديدة

1. نتائج انتخابات مجلس الأمة

إعلان النتائج النهائية لانتخابات تجديد نصف أعضاء مجلس الأمة التي جرت في 9 مارس 2025.

يتضمن الإعلان النتائج الإجمالية للانتخابات: عدد الولايات (58)، عدد المترشحين (426)، عدد الناخبين المسجلين (27236)، عدد المصوتين (26231)، نسبة المشاركة (96.31%)، الأصوات المعبر عنها (24183)، والأوراق الملغاة (2048). كما يتضمن النتائج المفصلة حسب الولايات وقائمة بأسماء الفائزين وانتماءاتهم السياسية.

2. تعديل تنظيم مصالح المالية والتجهيز للأمن الوطني

تعديل المرسوم التنفيذي رقم 97-51 المتعلق بإنشاء ومهام وتنظيم المصالح الجهوية للمالية والتجهيز للأمن الوطني.

يستحدث المرسوم منصب رئيس مصلحة جهوية للمالية والتجهيز كمنصب عالٍ، ويحدد شروط التعيين فيه. كما يعيد تنظيم المصالح إلى أربعة مكاتب: مكتب الميزانية والمحاسبة، مكتب العتاد والإ довольствие، مكتب المنشآت القاعدية والذمة العقارية، ومكتب الوسائل المتحركة. ويحدد شروط تعيين رؤساء المكاتب.

3. إنهاء مهام وتعيينات إدارية

سلسلة مراسيم تنفيذية تتعلق بإنهاء مهام وتعيينات جديدة في عدة قطاعات وزارية وإدارات ولائية.

تضمنت القرارات إنهاء مهام مديري اتصالات وطنية بعدة ولايات، أمين عام دائرة الحمادية (تيارت)، وموظفين بوزارة الصحة (مكلف بالدراسات والتلخيص، مديرة فرعية، مكلف بالدراسات، مديرة تنظيم)، ومديري صحة وسكان بعدة ولايات، والمديرة المنتدبة للصحة بسيدي عبد الله (الجزائر). كما تم تعيين رئيس ديوان والي البويرة، ومديري اتصالات وطنية جدد، ومدير منتدب للتنظيم والشؤون العامة والإدارة المحلية ببوسعادة (المسيلة).

4. إلغاء الديون الضريبية للمؤسسات المصادرة

قرار يحدد كيفيات إلغاء الديون الضريبية للمؤسسات التي تمت مصادرتها بناء على قرار قضائي نهائي، تطبيقاً لقانون المالية التكميلي 2021 وقانون المالية التصحيحي 2023.

يشمل الإلغاء الديون غير المحصلة المتكونة من الحقوق البسيطة، الغرامات والعقوبات الجبائية المرتبطة بها. في حالة المصادرة الجزئية، يتم الإلغاء بالتناسب مع قيمة الأموال والأملاك المصادرة. يتم الإلغاء بمبادرة من قابض الضرائب.

5. تعيين أعضاء سلطة ضبط سوق التبغ

قرار يتضمن تعيين رئيس وأعضاء سلطة ضبط سوق التبغ والمواد التبغية، تطبيقاً للمرسوم التنفيذي رقم 04-331.

يعين السيد شريفي رشيد رئيساً للسلطة، بالإضافة إلى ممثلين عن وزارات الدفاع، الداخلية، الصحة، الفلاحة، التجارة، الصناعة، البيئة، وقيادة الدرك الوطني، المديرية العامة للأمن الوطني، المديرية العامة للضرائب، والمديرية العامة للجمارك كأعضاء. مدة العضوية ثلاث سنوات قابلة للتجديد مرة واحدة.

6. تسهيلات ضريبية لتعزيز الدفع الإلكتروني

قرار يحدد كيفيات تطبيق تخفيض الوعاء الضريبي للضريبة على أرباح الشركات بما يعادل العمولات المدفوعة عن عمليات الدفع الإلكتروني، وذلك لتشجيع هذه الوسيلة.

يشمل التخفيض العمولات خارج الرسوم التي تتحملها البنوك التجارية وبريد الجزائر عن عمليات الدفع الإلكتروني بالعملة الوطنية. المبلغ الأقصى للعمولات المخفضة يعادل مبلغ العمولة الإجمالية السنوية بين البنوك. يطبق هذا القرار لمدة 12 شهراً ابتداءً من 1 يناير 2025.

7. تعيين أعضاء مجلس إدارة مركز دراسات الأسرة والمرأة والطفولة

قرار بتعيين أعضاء مجلس إدارة المركز الوطني للدراسات والإعلام والتوثيق حول الأسرة والمرأة والطفولة لمدة ثلاث سنوات قابلة للتجديد.

يترأس المجلس السيدة هدى مامش، ممثلة وزير التضامن الوطني. ويضم ممثلين عن وزارات الداخلية، العدل، المالية، الشؤون الدينية، التربية الوطنية، الفلاحة، الصحة، الثقافة، الصناعة، التعليم العالي، البريد، التكوين المهني، السكن، العمل، والشباب والاتصال، بالإضافة إلى ممثل عن المجلس العلمي وشخصية من المركز.

8. توسيع مساحات الفلاحة الصناعية الصحراوية بتيميمون

قرار وزاري مشترك يكمل تحديد شروط وكيفيات تحويل العقار الفلاحي التابع للأملاك الخاصة للدولة لديوان تنمية الفلاحة الصناعية بالأراضي الصحراوية، ليشمل مساحات جديدة بولاية تيميمون.

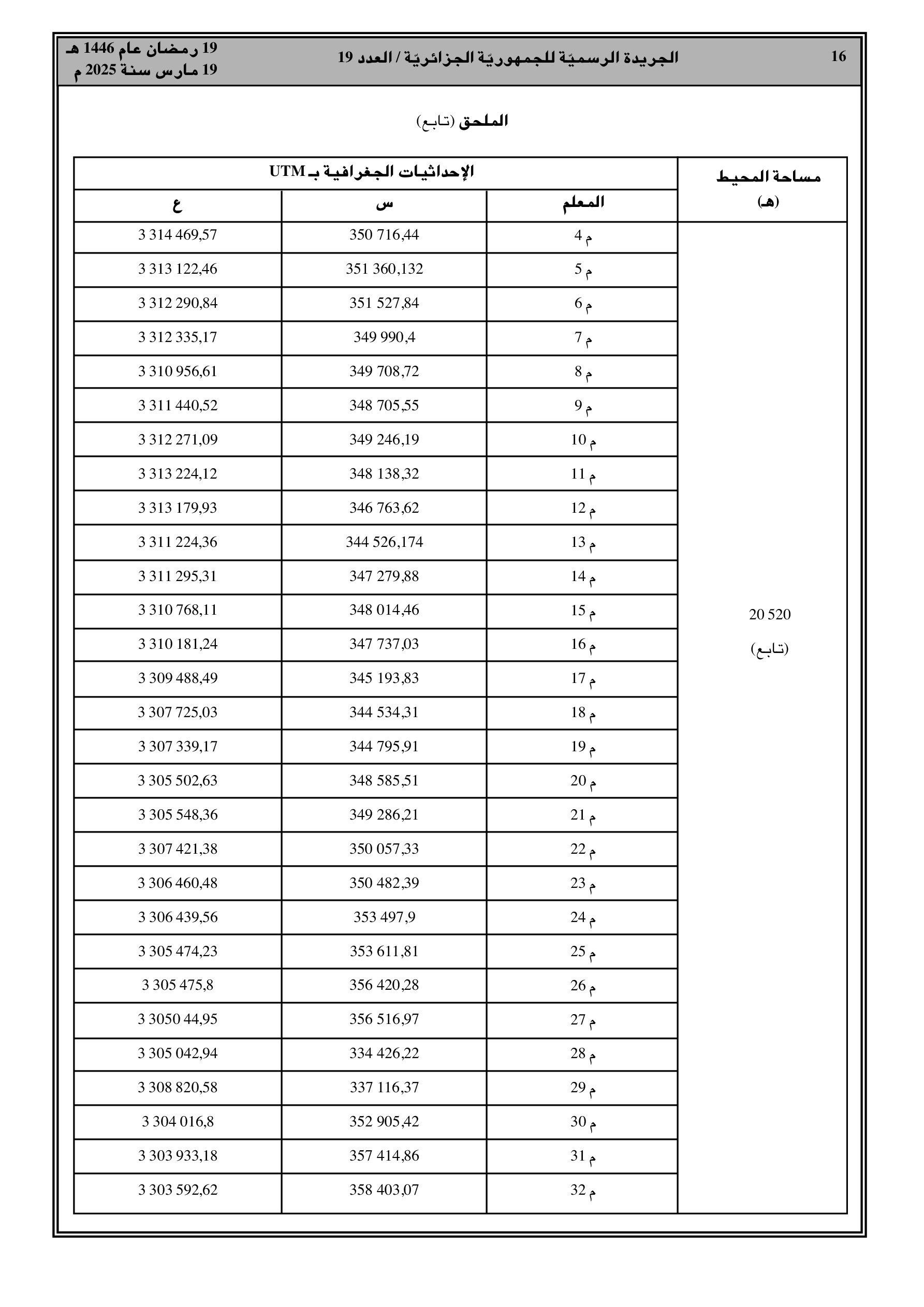
يكمل هذا القرار الوزاري المشترك (المالية، الفلاحة، الري) الملحق الخاص بالقرار الوزاري المشترك المؤرخ في 5 ماي 2021. يضيف مساحة 6728 هكتارًا إلى محيط 29272 هكتارًا، ومحيطًا جديدًا بمساحة 20520 هكتارًا بولاية تيميمون، لفائدة ديوان تنمية الفلاحة الصناعية بالأراضي الصحراوية. يتضمن القرار الإحداثيات الجغرافية لهذه المساحات.

9. تفويضات التوقيع بوزارة الفلاحة

قرارات وزارية متعددة تمنح تفويض التوقيع لعدة مديرين مركزيين بوزارة الفلاحة والتنمية الريفية والصيد البحري.

تشمل التفويضات المدير العام للغابات، مدير إدارة الوسائل بالمديرية العامة للغابات، مدير الشؤون القانونية والتنظيم، مدير إدارة الوسائل، ومديرة حماية النباتات والمراقبة التقنية. تمنح هذه التفويضات لهؤلاء المسؤولين حق التوقيع على جميع الوثائق والقرارات المتعلقة بمهامهم، باستثناء القرارات الوزارية.

10. تحديد مستويات علامة الجودة للمنتوج الحرفي التقليدي

قرار يحدد مستويات علامة الجودة والأصالة لمنتجات الصناعة التقليدية، بهدف تثمين المنتوج الحرفي الجزائري وحمايته.

تتضمن العلامة مستويين: المستوى الأول "صناعة تقليدية جزائرية" (Artisanat d'Algérie) وهي علامة جماعية وطنية، والمستوى الثاني "صناعة تقليدية جزائرية منتوج منطقة" (Artisanat d'Algérie produit région) وهي علامة جماعية خاصة بمنطقة جغرافية. يحدد القرار معايير كل مستوى مثل الطابع التقليدي الأصيل، جودة المواد، والتصنيع اليدوي. كما يعرض شعار العلامة بشكل ثماني الأضلاع يتضمن عبارات عربية ولاتينية ورسم يدين.

11. كيفيات تسليم علامات جودة المنتوج الحرفي

قرار يحدد كيفيات وإجراءات منح علامتي الجودة والأصالة "صناعة تقليدية جزائرية" و"صناعة تقليدية جزائرية منتوج منطقة".

يودع طلب العلامة لدى غرفة الصناعة التقليدية والحرف المختصة إقليميا. تقوم مديرية السياحة الولائية بالدراسة والتحقق. تقوم الغرفة بإرسال الملف للوكالة الوطنية للصناعة التقليدية التي تتخذ قرارها عبر لجنة تقنية. تسجل العلامات في سجل خاص لدى الوكالة. يتضمن القرار نماذج لشهادتي العلامتين.

12. المصادقة على مخطط تهيئة سياحي لسيدي بن تمرة (تيسمسيلت)

قرار وزاري بالمصادقة على مخطط التهيئة السياحية لمنطقة التوسع والموقع السياحي "سيدي بن تمرة" بولاية تيسمسيلت.

يصادق هذا القرار على مخطط التهيئة السياحية لمنطقة التوسع والموقع السياحي "سيدي بن تمرة" ببلدية تيسمسيلت. تبلغ المساحة القابلة للتهيئة 46 هكتارًا من إجمالي مساحة منطقة التوسع البالغة 46 هكتارًا. يعتبر المخطط بمثابة رخصة تجزئة للأجزاء القابلة للبناء.
احصل على آخر أخبار الجريدة الرسمية الجزائرية فور صدورها