Journal Officiel Algérien | SGG Algérie Consultez et recherchez facilement et rapidement les lois et décrets dans le Journal Officiel Algérien.
Numéro 19 SGG Algérie

Résultats des élections du Conseil de la Nation et nouvelles mesures économiques et sociales

1. Résultats des élections du Conseil de la Nation

Proclamation des résultats définitifs de l'élection du renouvellement de la moitié des membres élus du Conseil de la Nation, tenue le 9 mars 2025.

La proclamation inclut les résultats globaux de l'élection : nombre de wilayas (58), nombre de candidats (426), inscrits (27236), votants (26231), taux de participation (96,31%), suffrages exprimés (24183), et bulletins nuls (2048). Elle comprend également les résultats détaillés par wilaya et la liste des élus avec leurs affiliations politiques.

2. Modification de l'organisation des services financiers et d'équipement de la Sûreté Nationale

Modification du décret exécutif n° 97-51 portant création, missions et organisation des services régionaux des finances et de l'équipement de la sûreté nationale.

Le décret institue le poste de chef de service régional des finances et de l'équipement comme poste supérieur et en fixe les conditions de nomination. Il réorganise également les services en quatre bureaux : bureau du budget et de la comptabilité, bureau du matériel et de l'intendance, bureau des infrastructures et du patrimoine immobilier, et bureau des moyens roulants. Il fixe les conditions de nomination des chefs de bureau.

3. Fin de fonctions et nominations administratives

Série de décrets exécutifs concernant des fins de fonctions et de nouvelles nominations dans divers secteurs ministériels et administrations de wilayas.

Les décisions comprennent la fin de fonctions de directeurs des transmissions nationales dans plusieurs wilayas, du secrétaire général de la daïra de Hamadia (Tiaret), de cadres du ministère de la Santé (chargé d'études et de synthèse, sous-directrice, chargé d'études, directrice de la réglementation), de directeurs de la santé et de la population dans plusieurs wilayas, et de la directrice déléguée de la santé de Sidi Abdellah (Alger). Des nominations concernent le chef de cabinet du wali de Bouira, de nouveaux directeurs des transmissions nationales, et un directeur délégué à la réglementation, des affaires générales et de l'administration locale à Bou Saâda (M'Sila).

4. Annulation des dettes fiscales des entreprises confisquées

Arrêté fixant les modalités d'annulation des dettes fiscales des entreprises confisquées par décision de justice définitive, en application de la loi de finances complémentaire 2021 et la loi de finances rectificative 2023.

L'annulation concerne les dettes non acquittées constituées des droits simples, pénalités et sanctions fiscales y afférentes. En cas de confiscation partielle, l'annulation est proportionnelle à la valeur des biens et avoirs confisqués. L'annulation est initiée par le receveur des impôts.

5. Nomination des membres de l'autorité de régulation du marché du tabac

Arrêté portant nomination du président et des membres de l'autorité de régulation du marché du tabac et des produits tabagiques, en application du décret exécutif n° 04-331.

M. Cherifi Rachid est nommé président de l'autorité, ainsi que des représentants des ministères de la Défense, de l'Intérieur, de la Santé, de l'Agriculture, du Commerce, de l'Industrie, de l'Environnement, et du commandement de la Gendarmerie Nationale, de la Direction Générale de la Sûreté Nationale, de la Direction Générale des Impôts et de la Direction Générale des Douanes en tant que membres. Le mandat est de trois ans, renouvelable une fois.

6. Incitations fiscales pour promouvoir le paiement électronique

Arrêté fixant les modalités d'application de la réduction de la base imposable de l'impôt sur les bénéfices des sociétés équivalente aux commissions sur les transactions par paiement électronique, afin d'encourager ce moyen.

La réduction concerne les commissions hors taxes prises en charge par les banques commerciales et Algérie Poste pour les opérations de paiement électronique en monnaie nationale. Le montant plafond des commissions admises en réduction équivaut au montant de la commission globale annuelle interbancaire. Cet arrêté est applicable pour 12 mois à compter du 1er janvier 2025.

7. Désignation des membres du conseil d'administration du centre d'études sur la famille, la femme et l'enfance

Arrêté portant désignation des membres du conseil d'administration du Centre national d'études, d'information et de documentation sur la famille, la femme et l'enfance pour une durée de trois ans renouvelable.

Le conseil est présidé par Mme Houda Mameche, représentante du ministre de la Solidarité Nationale. Il comprend des représentants des ministères de l'Intérieur, de la Justice, des Finances, des Affaires Religieuses, de l'Education Nationale, de l'Agriculture, de la Santé, de la Culture, de l'Industrie, de l'Enseignement Supérieur, de la Poste, de la Formation Professionnelle, de l'Habitat, du Travail, de la Jeunesse et de la Communication, ainsi qu'un représentant du conseil scientifique et un membre du personnel du centre.

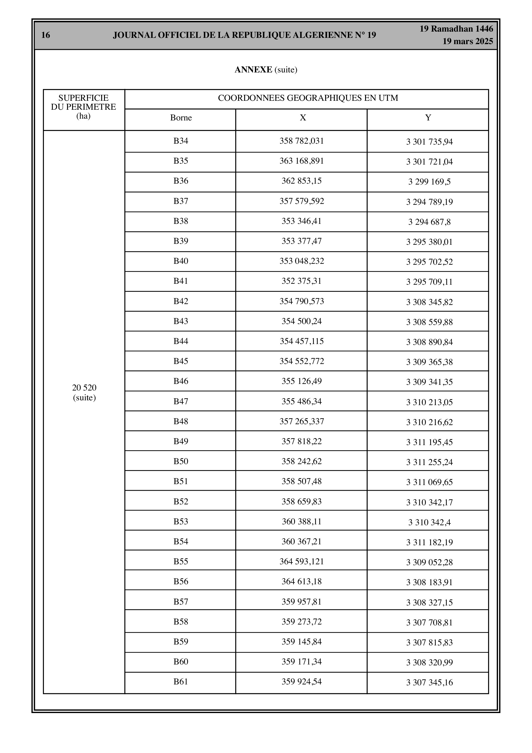
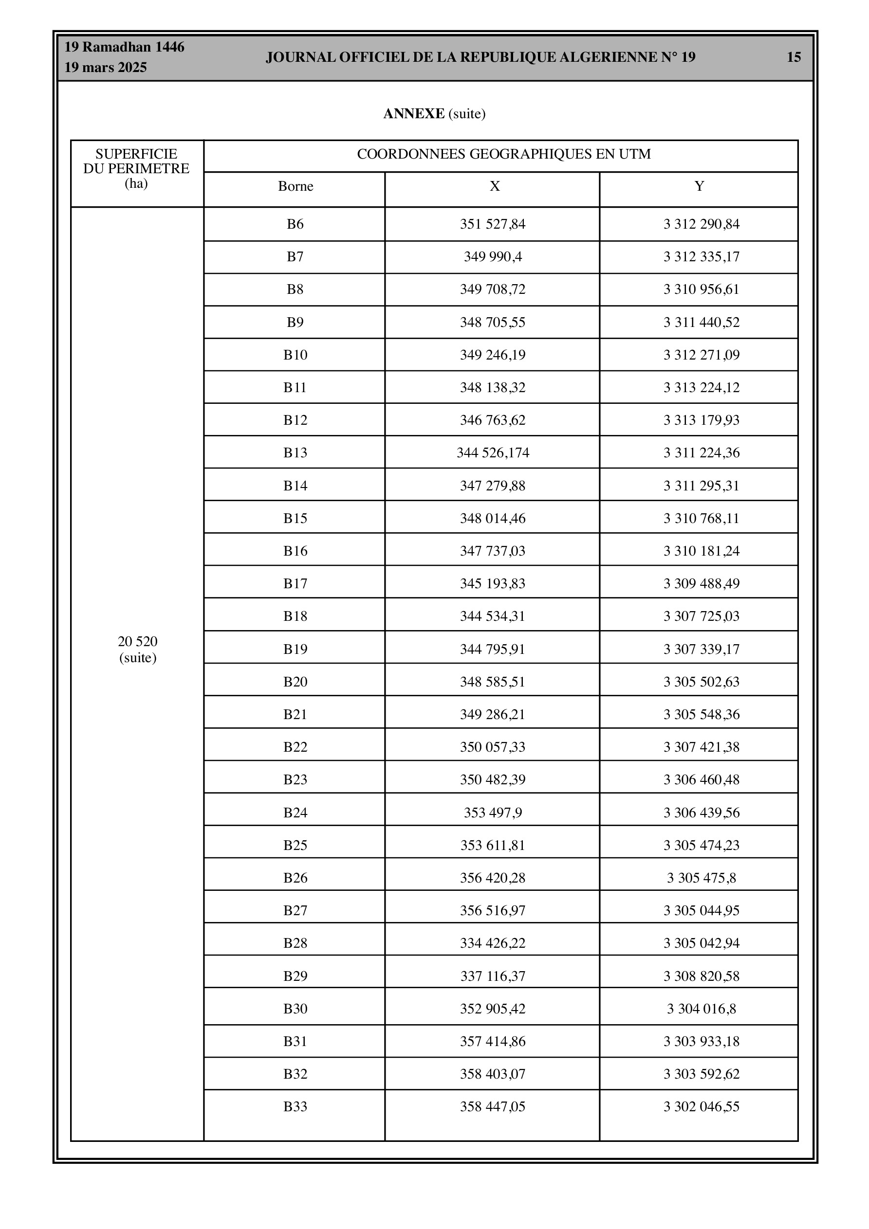
8. Extension des superficies de l'agriculture industrielle saharienne à Timimoun

Arrêté interministériel complétant la fixation des conditions et modalités de transfert du portefeuille foncier de l'Etat à l'Office de développement de l'agriculture industrielle en terres sahariennes, pour inclure de nouvelles superficies dans la wilaya de Timimoun.

Cet arrêté interministériel (Finances, Agriculture, Hydraulique) complète l'annexe de l'arrêté interministériel du 5 mai 2021. Il ajoute une superficie de 6 728 ha au périmètre de 29 272 ha, et un nouveau périmètre de 20 520 ha dans la wilaya de Timimoun, au profit de l'Office de développement de l'agriculture industrielle en terres sahariennes. L'arrêté inclut les coordonnées géographiques de ces superficies.

9. Délégations de signature au Ministère de l'Agriculture

Plusieurs arrêtés ministériels accordant délégation de signature à divers directeurs centraux au sein du Ministère de l'Agriculture, du Développement Rural et de la Pêche.

Les délégations concernent le directeur général des forêts, le directeur de l'administration des moyens à la direction générale des forêts, le directeur des affaires juridiques et de la réglementation, le directeur de l'administration et des moyens, et la directrice de la protection des végétaux et des contrôles techniques. Ces délégations confèrent à ces responsables le droit de signer tous actes et décisions relevant de leurs attributions, à l'exclusion des arrêtés ministériels.

10. Fixation des niveaux du label de qualité des produits de l'artisanat traditionnel

Arrêté fixant les niveaux du label de qualité et d'authenticité des produits de l'artisanat traditionnel, visant à valoriser et protéger le produit artisanal algérien.

Le label comporte deux niveaux : Niveau 1 « Artisanat d'Algérie », marque collective nationale, et Niveau 2 « Artisanat d'Algérie produit région », marque collective spécifique à une région géographique. L'arrêté définit les critères de chaque niveau tels que le caractère traditionnel authentique, la qualité des matériaux et la fabrication manuelle. Il présente également le logo octogonal du label avec des inscriptions en arabe et en latin et un dessin de deux mains.

11. Modalités de délivrance des labels de qualité des produits de l'artisanat

Arrêté fixant les modalités et procédures de délivrance des labels de qualité et d'authenticité « Artisanat d'Algérie » et « Artisanat d'Algérie produit région ».

La demande de label est déposée auprès de la chambre de l'artisanat et des métiers territorialement compétente. La direction de wilaya du tourisme étudie et vérifie la demande. La chambre transmet le dossier à l'Agence nationale de l'artisanat traditionnel, qui statue via un comité technique. Les labels sont enregistrés dans un registre spécial à l'agence. L'arrêté comprend des modèles types des deux attestations de label.

12. Approbation du plan d'aménagement touristique de Sidi Bentamra (Tissemsilt)

Arrêté ministériel portant approbation du plan d'aménagement touristique de la zone d'expansion et site touristique « Sidi Bentamra », wilaya de Tissemsilt.

Cet arrêté approuve le plan d'aménagement touristique de la zone d'expansion et site touristique « Sidi Bentamra », commune de Tissemsilt. La superficie aménageable est de 46 hectares sur une superficie totale de la zone d'expansion de 46 hectares. Le plan vaut permis de lotir pour les parties constructibles.
Recevez les dernières actualités du Journal Officiel Algérien dès sa parution